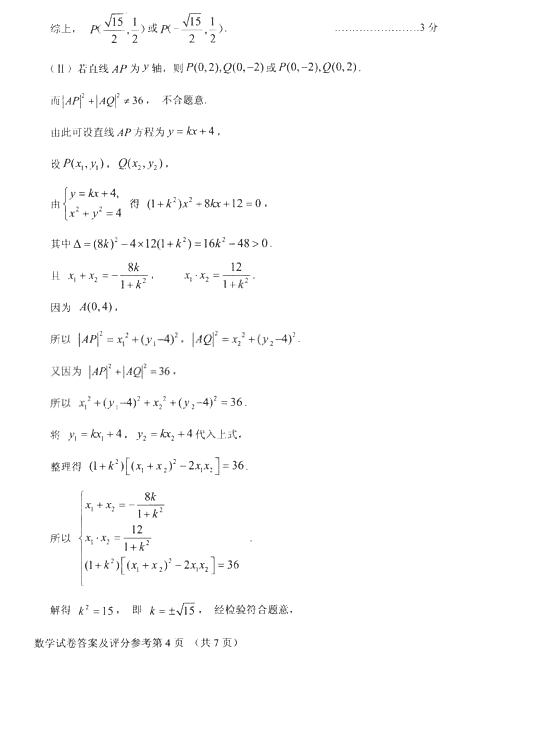
北京市2015年春季普通高中会考数学试卷及答案(9)
阳光学习网
来源: 高中学业水平考试网 2015-01-22
本文已受益: 人
大 中 小
| 全国各省市学习经验 | |||||||||||||||
| 北京 | 上海 | 天津 | 重庆 | 贵州 | 广西 | 吉林 | 辽宁 | 陕西 | 甘肃 | 宁夏 | 青海 | 新疆 | 西藏 | 海南 | 黑龙江 |
| 云南 | 四川 | 湖北 | 河北 | 山西 | 山东 | 江苏 | 浙江 | 江西 | 福建 | 安徽 | 河南 | 湖南 | 广东 | 内蒙古 | |

阳光学习网 阳光中考网 www.yggk.net : 有价值的学习经验分享网
高考关键字:
阳光学习网 | 院校库 | 招生简章 | 高考分数线 | 高考录取查询 | 高校排名 | 志愿填报 | 院校信息 | 高校动态 | 高考资讯 | 艺术高考 | 高考政策 | 高考试题 | 复习资料 | 志愿填报 | 高考专业解读 | 高考招生计划 | 院校信息 | 一起文库网 | 专业就业 | 教育时评 | 健康高考 | 211工程 | 985工程 | 教育部直属 | 北京高考 | 上海高考 | 贵州高考 | 吉林高考 | 辽宁高考 | 陕西阳光高考 | 湖北高考 | 河北高考 | 山西阳光高考 | 山东阳光高考信息平台 | 江苏阳光高考信息平台 | 浙江阳光高考信息平台 | 福建阳光高考信息平台 | 安徽阳光高考 | 河南阳光高考信息平台 | 广东高考 |